化学熱力学
まとめればよくわかる。4つの熱力学基本式
これまで内部エネルギー、エンタルピー、ヘルムホルツエネルギー、ギブズエネルギーといった熱力学の状態量それぞれの意味をみていきましたが、今回はそれぞれを結びつけて […]
補足:ギブズエネルギー変化が0ならば反応は進行しないのか?
自発性について示す指標としてギブズエネルギーの説明をしてきましたが、ここで一点補足をしておきます。 ギブズエネルギー変化が負のときは、反応が自発的に進み、正のと […]
ヘルムホルツエネルギーと最大仕事
以前の記事で等温かつ等積のとき、ヘルムホルツエネルギーが反応の自発性の判断に使えるという話をしました。 しかし、ヘルムホルツエネルギーにはもう一つ大切な意味が隠 […]
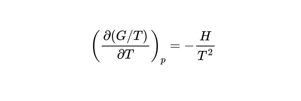
ヘルムホルツエネルギーとギブズエネルギー
ヘルムホルツエネルギーとギブズエネルギーはよく似た式です。 その違いとそしてその意味について学習しましょう。 クラウジウスの不等式の利用 エントロピーは、反応が […]
熱力学第3法則とネルンストの熱定理
エントロピーが理論的になにかわかったとして、 実際のところ物質のエントロピーをどのように求めればいいか疑問に思う人も多いと思います。 ここでは、エントロピーの測 […]
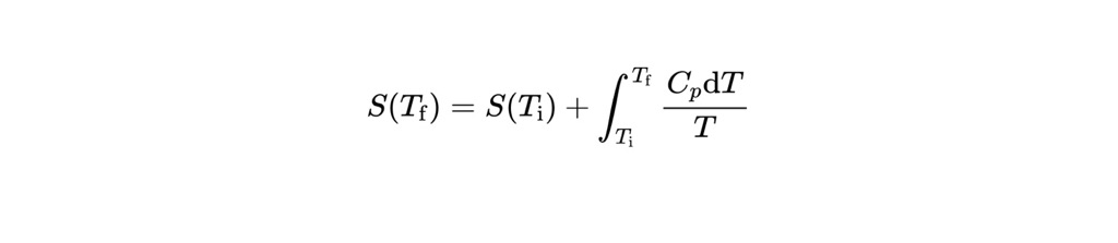
複合過程におけるエントロピーの変化
多くの過程では、温度や体積、圧力が複数変化することが多く、単純にはエントロピーの変化が求められないことが多々あります。 ここでは、そんな複合的な過程のエントロピ […]
【化学熱力学・大学院試験対策】トルートンの規則とは何か?
化学系の大学院試験直前の対策として、大学院の試験に出題されうる用語やテーマを解説しています。 今回は物理化学、化学熱力学の中からトルートンの規則というテーマを扱 […]
【化学熱力学】熱と仕事って何が違うんや??
熱や仕事という概念は化学熱力学ではよく使われるものですが、抽象的であるために、勘違いをしやすい部分でもあります。 そういえば、高校の時、”内部エネル […]